Графический метод
Идея метода заключается в построении графика для каждого уравнения системы в одной системе координат и нахождении точек их пересечения – решения системы. Выше было замечено, что ответ после решения системы записывается так же, как координаты какой-нибудь точки.
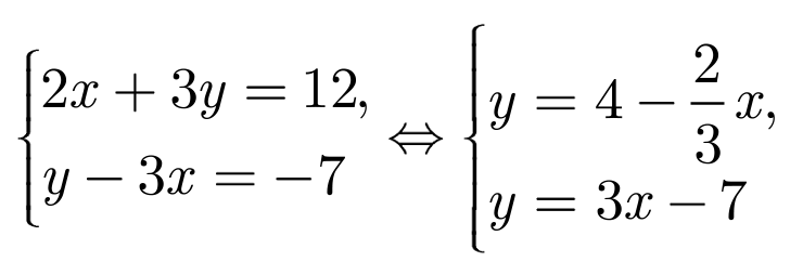
Пример 2. Решить систему уравнений 
Решение. Построим графики уравнений. Функции, входящие в эти уравнения, являются линейными. Их графиками являются прямые линии. Выразим переменную y из каждого уравнения системы:

и построим графики соответствующих функций в одной системе координат.

Видно, что графики пересекаются в точке с координатами (3; 2). Ответ. (3; 2).
Графический метод – самый неточный. Практически его можно применять только для систем линейных уравнений (вида y = ax + b), графиками которых являются прямые. Если же хотя бы одно из уравнений имеет более сложный вид (содержит квадрат, корень, логарифм и т.д.), то не рекомендуется использовать графический метод (лучше использовать его только для иллюстраций).